Sifat sifat pangkat bulat positif 1. Sebelum kita membahas mengenai contoh soal bilangan berpangkat sebaiknya anda mengerti dulu apa itu pengertian bilangan berpangkat.
Sifat Sifat Operasi Bilangan Berpangkat Beserta Contoh Soal
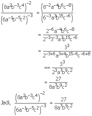
Sederhanakan beberapa bilangan berpangkat di bawah ini.
Contoh soal sifat bilangan berpangkat sederhanakan. 1 y2 xy2. Sederhanakan menjadi satu bilangan berpangkat. Berikut ini adalah pembahasan tentang bilangan bepangkat yang meliputi sifat sifat bilangan berpangkat operasi bilangan berpangkat contoh soal bilangan berpangkat contoh operasi bilangan berpangkat sifat sifat perpangkatan perkalian bilangan berpangkat pembagian bilangan berpangkat penjumlahan bilangan berpangkat pengurangan bilangan berpangkat perpangkatan bilangan berpangkat.
Contoh soal bilangan berpangkat berbicara mengenai bilangan berpangkat tentu kalian sudah tidak asing lagi karena ini merupakan materi kelanjutan dari materi bilangan bulat yang telah kita bahas sebelumnya. Sederhanakan pernyataan xy 2 x. Bilangan berpangkat pecahan pengertian sifat rumus contoh soal dipembahasan sebelumnya kita sudah membahas materi mengenai bilangan berpangkat dan bilangan pecahan sekarang kita akan membahas materi bilangan berpangkat pecahan.
A 0 1 untuk a bukan 0 2. A n m a n x m a nm contoh soal. 3 6 x 3 2 b.
A m a n m 4. Materi matematikan tentang pengertian sifat sifat jenis jenis bilangan berpangkat dan bentuk akar serta contoh soal dan pembahasannya lengkap. Sifat sifat operasi bilangan berpangkat dan dengan contoh soal serta pembahasannya lengkap.
Jika anda sudah memahaminya maka di buat dalam bentuk apa pun akan terasa mudah. Dan supaya dalam mengerjakan soal bilangan berpangkat menjadi lebih mudah maka anda semua harus memahami betul mengenai sifat sifat bilangan berpangkat. 5x 2 y 2x 2 y 2 0.
M 5 x m x m 3 c. 3x 6 y x 2x 5 y 2 jawab. Dalam artikel tentang bentuk pangkat bilangan bulat telah sedikit dibahas mengenai sifat operasi hitung bilangan berpangkat yaitu sifat operasi perkalian dan pembagian bilangan berpangkat.
Dengan memanfaatkan sifat sifat pada bilangan berpangkat kalian akan lebih mudah menyelesaikan soal soal operasi campuran pada bentuk akarnya. Bilangan berpangkat yang dimaksud dengan bilangan berpangkat ialah bilangan penyederhana dari bilangan yang dikalikanada beberapa sifat bilangan pangkat yang harus kamu tahu. A n x a m a n m 3.
3x 2 y 3x 2y. Sebelum melakukan operasi campuran pahami urutan operasi hitung berikut. Sebagaimana yang kita ketahui bahwasannya eksponen atau pangkat biasanya yang tercantum yaitu bilangan asli atau bilangan bulat.
Jenis contoh soal pembahasan 19 alat musik tiup modern. Nah dalam artikel ini akan membahas semua sifat sifat operasi hitung pada bilangan berpangkat yang meliputi sifat perkalian pembagian perpangkatan dan lain lain beserta contoh soal dan pembahasannya. Sehingga sifat dari bilangan berpangkat nol 0 yaitu jika nilai a merupakan bilangan riil serta a tidak sama dengan 0 maka a 0 1 untuk lebih memahami uraian di atas perhatikan baik baik contoh soal di bawah ini.
Sifat Sifat Operasi Bilangan Berpangkat Beserta Contoh Soal
Sifat Sifat Operasi Bilangan Berpangkat Beserta Contoh Soal
Contoh Soal Bilangan Berpangkat Bulat Positif Negatif Dan
Sifat Sifat Operasi Bilangan Berpangkat Beserta Contoh Soal
Sifat Sifat Operasi Bilangan Berpangkat Lengkap Dengan
Contoh Soal Bilangan Berpangkat Bulat Positif Negatif Dan
Sifat Sifat Operasi Bilangan Berpangkat Lengkap Dengan
Imath Menyelesaikan Bentuk Pangkat Aljabar Dan Pangkat
Sifat Sifat Operasi Bilangan Berpangkat Beserta Contoh Soal
Sifat Sifat Operasi Bilangan Berpangkat Lengkap Dengan
Pengertian Operasi Rumus Dan Sifat Sifat Bilangan Berpangkat
Contoh Soal Bilangan Berpangkat Bulat Positif Negatif Dan
Bilangan Berpangkat Jenis Sifat Operasi Hitung Soal
Contoh Soal Bilangan Berpangkat
Sifat Sifat Operasi Bilangan Berpangkat Beserta Contoh Soal
Contoh Soal Bilangan Berpangkat Bulat Positif Negatif Dan
Contoh Soal Menyederhanakan Bilangan Berpangkat Ruang
Sifat Sifat Operasi Bilangan Berpangkat Beserta Contoh Soal
Matematika Kelas 9 Bilangan Berpangkat Pengertian Dan
Tutorial Menyederhanakan Pangkat Tak Sebenarnya
Ruang Belajar Siswa Kelas 1 Contoh Soal Bilangan Berpangkat
Bilangan Pangkat Pecahan Pengertian Rumus Sifat Operasi
Bentuk Pangkat Dan Akar 10 Sma
Imath Menyelesaikan Bentuk Pangkat Aljabar Dan Pangkat
Contoh Soal Bilangan Berpangkat Bulat Positif Negatif Dan
Bilangan Berpangkat Dan Bentuk Akar Pengertian Sifat
Imath Menyelesaikan Bentuk Pangkat Aljabar Dan Pangkat
Dengan Menggunakan Sifat Bilangan Berpangkat Sederhanakan
Contoh Soal Menyederhanakan Operasi Bilangan Berpangkat
Bilangan Berpangkat Jenis Sifat Operasi Hitung Soal
Menyederhanakan Hasil Bilangan Berpangkat Eksponen Logaritma Sma Kelas X
Pengertian Bilangan Berpangkat Pecahan Beserta Contoh Soalnya
Cara Menyederhanakan Bilangan Pecahan Berpangkat Brainly Co Id
Menyederhanakan Bentuk Eksponen
Modul Bahan Ajar Bilangan Berpangkat2012
Contoh Soal Bilangan Berpangkat Zona Ilmu 5
Sifat Sifat Operasi Bilangan Berpangkat Lengkap Dengan
Sederhanakan Bentuk Bentuk Berikut Dengan Menggunakan Sifat
Ruang Belajar Siswa Kelas 6 Contoh Soal Bilangan Berpangkat
Contoh Soal Bentuk Akar Eksponen Logaritma Dan
Menyederhanakan Bilangan Berpangkat
Bahan Ajar Materi Bilangan Berpangkat K13 Untuk Kelas Vii Smp
Sifat Sifat Operasi Bilangan Berpangkat Lengkap Dengan
Bilangan Berpangkat Dan Bentuk Akar Pengertian Sifat
Bilangan Berpangkat Jenis Sifat Operasi Hitung Soal
Sifat Sifat Perkalian Dan Pembagian Bilangan Bulat
Sifat Bilangan Berpangkat Beserta Pengertiannya Dalam Matematika
Bilangan Berpangkat Dan Bentuk Akar Anikasari
Cara Menyederhanakan Bilangan Berpangkat Prediksi Unbk Matematika Smk Tkp 2018
Modul Bahan Ajar Bilangan Berpangkat2012
Anak Kelas 9 Yuk Pahami Materi Bilangan Berpangkat Bulat
Bilangan Berpangkat Jenis Sifat Operasi Hitung Soal
Bilangan Berpangkat Dan Bentuk Akar Pengertian Sifat
Contoh Soal Bentuk Akar Eksponen Logaritma Dan
Hasil Operasi Bilangan Berpangkat Berikut 2 Pangkat 5 Dikali 3 Pangkat 6 Dikali 4 Pangkat 6
Jawaban Latihan 1 2 Perkalian Pada Perpangkatan Halaman 20
8 Cara Menyederhanakan Soal Perpangkatan Solusi Matematika
Bilangan Berpangkat Dan Bentuk Akar Materi Soal
Contoh Soal Dan Pembahasan Sifat Sifat Bilangan Bulat Smp
Sifat Sifat Operasi Bilangan Berpangkat Lengkap Dengan
Sederhanakan Hasil Operasi Bilangan Berpangkat Berikut 5 6 25 2 125
Contoh Soal Bentuk Akar Eksponen Logaritma Dan
6 Sifat Operasi Hitung Bilangan Berpangkat Beserta Contoh
Sederhanakan Bentuk Pangkat Berikut Brainly Co Id
Bilangan Pangkat Pecahan Pengertian Dan Contoh Soal
Bilangan Berpangkat Dan Bentuk Akar Materi Soal
Bilangan Berpangkat Dan Bentuk Akar 9
Tutorial Cara Menyederhanakan Operasi Bentuk Aljabar Penjumlahan Dan Pengurangan
Cara Membagi Bilangan Berpangkat Wikihow
Sederhanakan Bentuk Penjumlahan Dan Pengurangan Bilangan
Pangkat Tabel 1 100 Pangkat Dan Akar Pangkat 2 3 Soal
Pelajaran Soal Rumus Bentuk Pangkat Pecahan Wardaya College
Cara Membagi Bilangan Berpangkat Wikihow
Ruang Belajar Siswa Kelas 6 Contoh Soal Bilangan Berpangkat
Materi Matematika Smp Kelas Ix Bilangan Berpangkat Dan
Doc Bab 1 Akar Pangkat Dan Logaritma Fixs Banget Atsnan
Sifar Sifat Bentuk Akar Cara Dan Contoh Soal
Contoh Soal Menyederhanakan Pecahan Aljabar
X 8 C X 8 D 2 3 7 Sederhanakan Dan Nyatakan Dalam Bentuk
Sifat Sifat Operasi Bilangan Berpangkat Lengkap Dengan
Standar Kompetensi Memecahkan Masalah Berkaitan Dengan
Bilangan Berpangkat Dan Bentuk Akar
Bilangan Berpangkat Jenis Sifat Operasi Hitung Soal
Sederhanakan Perpangkatan Berikut Ini Brainly Co Id
Operasi Hitung Pecahan Bentuk Aljabar Ppt Download
Operasi Perpangkatan Dan Pembagian Bentuk Aljabar Beserta
Materi Matematika Sma Kelas 10 Bentuk Akar Deserta Contoh Soal
Sederhanakan Bentuk Bentuk Berikut A 2pangkat 4 3 B 5pangkat 3 Pangkat 6
Contoh Soal Bilangan Berpangkat Bulat Positif Negatif Dan
Pdf Kumpulan Soal Olimpiade Dan Pembahasan Bilangan 1
Kumpulan Soal Bentuk Pangkat Dan Akar
Deskripsi Kemampuan Pemahaman Konsep Eksponen Berbasis Teori
Akar Kuadrat Matematika Bersama Soal Soal Dan Jawaban





0 Response to "Contoh Soal Sifat Bilangan Berpangkat Sederhanakan"
Posting Komentar